Ideálna voľba pre makrofotografiu. TTArtisan 100mm F2.8 Macro 2x Macro má optickú štruktúru 14 prvkov v 10 skupinách vrátane 6 šošoviek s vysokým indexom. Tento plnoformátový stredný teleobjektív je ideálny na makrofotografiu, produktovú a portrétnu fotografiu.
Ideálna voľba pre makrofotografiu. TTArtisan 100mm F2.8 Macro 2x Macro má optickú štruktúru 14 prvkov v 10 skupinách vrátane 6 šošoviek s vysokým indexom. Tento plnoformátový stredný teleobjektív je ideálny na makrofotografiu, produktovú a portrétnu fotografiu.

Svet v miniatúre
Vďaka 2-násobnému zväčšeniu vám tento objektív umožní ľahko objavovať tajomstvá makro sveta. Od jemných štruktúr hmyzu až po drobné štruktúry rastlín - každý detail možno presne zachytiť.

Zachyťte zložitú krásu malých objektov.

TTArtisan 100 mm F2,8 MACRO 2X umožňuje jednoducho zhotovovať snímky s vysokým rozlíšením na základe vysoko výkonného zobrazovania plnoformátového snímača.
Autor: 九重葛
Predná strana objektívu je navrhnutá so 4 otvormi na skrutky, ktoré umožňujú pripevniť príslušenstvo, ako je držiak na studenú päticu alebo led svetlo. Či už pridávate osvetlenie alebo montujete iné fotografické nástroje, táto konštrukcia ponúka pohodlie pri fotografovaní.


Držiak pre montáž na studenú päticu Poznámky:
Súčasťou balenia je držiak na studenú päticu*1, led svetlo a ďalšie príslušenstvo zobrazené na obrázku nie je súčasťou balenia.
Vďaka veľkej clone F2,8 tento objektív vyniká v podmienkach slabého osvetlenia a zároveň vytvára hladký bokeh. Či už ide o fotografovanie portrétov alebo zátiší, malá hĺbka ostrosti, ktorú poskytuje veľká clona, dáva vyniknúť fotografovanému objektu.


Minimálna zaostrovacia vzdialenosť je 0,25 m. Tento objektív vám umožňuje priblížiť sa k objektu výnimočne blízko, pričom si zachováva ostrú kvalitu obrazu.


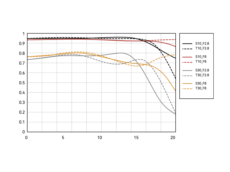
Tento objektív má optickú konštrukciu pozostávajúcu zo 14 prvkov v 10 skupinách, ktorá zahŕňa 6 šošoviek s vysokou lomivosťou, ktoré poskytujú vynikajúcu ostrosť obrazu a reprodukciu farieb pri všetkých typoch snímania. Či už ide o makrofotografiu alebo fotografovanie krajiny, každá fotografia je plná detailov.

Tento objektív má celokovové telo, ktoré nielenže zvyšuje odolnosť objektívu, ale má aj príjemný pocit a textúru.

Eloxovaný hliník / zacvakávacia clona / kovová predná krytka s flokovou výstelkou



Plný rámik
2-násobné zväčšenie
Držiak na studenú objímku
0.najbližšia zaostrovacia vzdialenosť 25 m
F2,8 Hladký bokeh
Celokovové telo
L-mount
TTArtisan 100 mm F2,8 Macro 2x Macro má optickú štruktúru zo 14 prvkov v 10 skupinách vrátane 6 šošoviek s vysokým indexom.
Tento plnoformátový stredný teleobjektív je ideálny na makrofotografiu, produktovú a portrétnu fotografiu.

Model aplikácie |
||
|
SONY E-mount |
A7、A7M2(α7II)、A7M3(α7III)、A7M4(α7IV)、 A7R(α7R)、A7RM2(α7RII)、A7RM3(α7RIII)、A7RM4(α7RIV)、A7RM5(α7RV)、 A7S(α7S)、A7SM2(α7SII)、A7SM3(α7SIII)、 A7C(α7c)、A7C2(α7cII)、A7CR(α7cR)、 A1、A9、A9I、A9III、ZV-E1 , atď. |
|
|
FUJI X-mount |
X-A1、X-A10、X-A2、X-A3、X-A5、X-A7;X-M1;X-H1、X-H2、X-H2S;X-T1、X-T10、X-T100、X-T2、X-T20、X-T200、X-T3、X-T30、X-T30II、X-T4、X-T5;X-Pro1、X-Pro2、X-Pro3;X-E1、X-E2、X-E2S、X-E3、X-E4;X-S10、X-S20 ,etc. | |
| Canon RF-mount | EOS R、RP、R5、R5C、R6、R6 Mark II、R3、R8 ,atď. | |
|
Nikon Z-mount |
Z5、Z6、Z7、Z6II、Z7II、Z9、Z8、Zf ,atď. | |
|
L-mount |
Leica:T、TL、TL2、CL、SL、SL2 Panasonic:S1、S1M、S1R、S1RM、S1H、S1K、S5、S5K、S5C、S5II、S5IIK、S5IIC、S5IIW、S5IIX Sigma:FP、FPL |
|
|
M43-mount |
Olympus:EPM1、EPM2;EPL1、EPL2、EPL3、EPL5、EPL6、EPL7、EPL8、EPL9、EPL10;E-P1、E-P2、E-P3、E-P5、E-P6、E-P7;E-M1、E-M1II、E-M1III、E-M1X;E-M5、E-M5II、E-M5III;E-M10、E-M10II、E-M10III、E-M10IV;OM-1、OM-1II、OM-5;PEN-F ,etc. Panasonic:G1、G2、G3、G5、G6、G7、G85、G95、G100、G9、G9II ;GF1、GF2、GF3、GF5、GF6、GF7、GF8、GF9、GF10;GX1、GX7、GX8、GX80、GX85、GX9;GM1、GM5;GH1、GH2、GH3、GH4、GH5、GH6,atď |
|
|
FUJI GFX-mount |
GFX50S、GFX50R、GFX50SII;GFX100、GFX100S、GFX100II ,etc. | |
|
Canon EF-mount |
EOS-1D X Mark III、EOS 5D Mark IV、EOS 6D Mark IV... , atď. | |
|
Nikon F-mount |
Df、D5、D6、D850、D810A、D810、D780、D750、D610... , atď. | |


Špecifikácia |
|||
| Ohnisková vzdialenosť | 100 mm | Veľkosť filtra | 67 mm |
| Maximálna clona | F2.8 | Najbližšia zaostrovacia vzdialenosť | 0.25m |
| Minimálna clona | F22 | Lamely clony | 12 ks |
| Rámček | Plný rámček | Spôsob zaostrovania | Manuálne |
| Uhol záberu | 24° | Zväčšenie | 2:1 |
| Optická konštrukcia | 14 prvkov v 10 skupinách | ||
| Uchytenie | E/X/Z/RF/L/GFX/EF/F | ||
| Hmotnosť | Približne 700 ~ 748 g | ||
| Výrobca: | TTArtisan |
| Kategória: | Objektívy |
| Bajonet | X-mount |
| Farba objektívu | Čierna |
| Závit | 67mm |
| typ objektivu | Pevné sklo |
| Objektív pre | Full frame |
| Svetelnosť (f) | 2.8 |
| Ohnisková vzdialenosť | 100mm |
| Automatické ostrenie | Nie |
| Makro | Áno |